in the Proceedings of “International Workshop on Cosmic Structure and Evolution” Proceedings of Science. (2009)
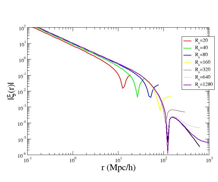
Super-homogeneity is a property that is supposed to be satisfied by matter fluctuations in all standard theoretical models of structure formation, such as LCDM and its variants. This is a global condition on the correlation properties of the matter density field, which can be understood as a consistency constraint in the framework of FRW cosmology, and it corresponds to a very fine tuned balance between negative and positive correlations of density fluctuations and to the fastest possible decay of the normalized mass variance on large scales. By considering several galaxy samples, we discuss that these are characterized by the presence of large amplitude fluctuations with spatial extension limited only the size of the current samples. There is therefore a tension between the standard prediction of super-homogeneity and the detection of large scale inhomogeneities in the matter distribution at scales of the order of 100 Mpc/h. We discuss the theoretical implications of these results with respect to models of structure formation and to future galaxy and CMBR data, emphasizing the central role of the super-homogeneity property in the current description of fluctuations in FRW models.

Leave a comment