
(Submitted on 15 Oct 2018)
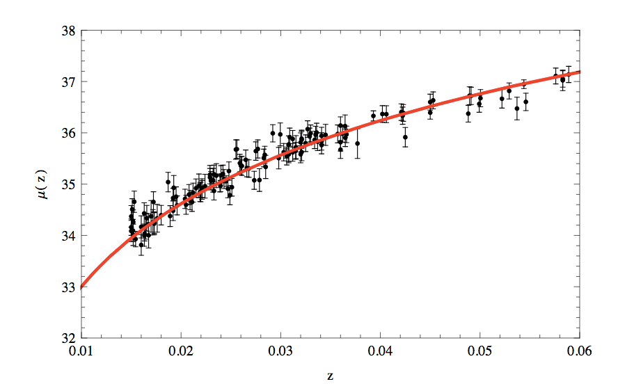
Abstract: In this paper we attempt to answer to the question: can cosmic acceleration of the Universe have a fractal solution? We give an exact solution of a Lemaitre-Tolman-Bondi (LTB) Universe based on the assumption that such a smooth metric is able to describe, on average, a fractal distribution of matter. While the LTB model has a center, we speculate that, when the fractal dimension is not very different from the space dimension, this metric applies to any point of the fractal structure when chosen as center so that, on average, there is not any special point or direction. We examine the observed magnitude-redshift relation of type Ia supernovae (SNe Ia), showing that the apparent acceleration of the cosmic expansion can be explained as a consequence of the fractal distribution of matter when the corresponding space-time metric is modeled as a smooth LTB one and if the fractal dimension on scales of a few hundreds Mpc is D=2.9±0.02.
Leave a comment