La cosa davvero particolare del modello cosmologico omogeneo attuale (quello che richiede che il 95% della materia dell’universo sia oscura e di un tipo mai osservato né in laboratorio né altrove, ma solo dedotto per fare la differenza tra teoria e osservazioni) è che è basato sulla assunzione che l’unica soluzione esatta che siamo capaci di trovare alle equazioni teoriche che descrivono il sistema (cioè le equazioni di Einstein della Relatività Generale) sia la soluzione che si applica perfettamente alla realtà.
Nessun’altra teoria fisica gode di questa proprietà: in genere le soluzioni esatte si trovano per avere una guida teorica poi bisogna trovare la maniera di adattarle alla realtà. Forse è questa situazione che rende necessari l’introduzione di tutta quella materia oscura ?
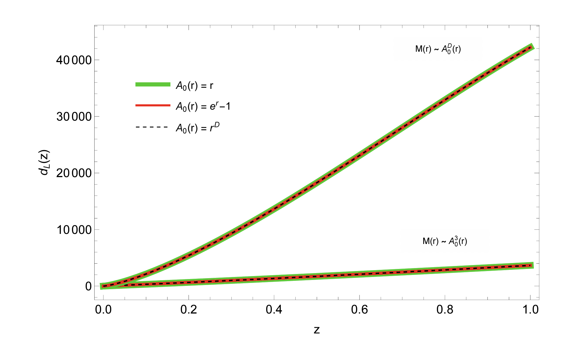
L’idea che abbiamo sviluppato con i modelli disomogenei è quella di interpretare l’accelerazione derivata dalle osservazioni delle supernovae come un effetto apparente che si verifica in una soluzione troppo semplificata delle equazioni di campo di Einstein cioè quelle derivate con una densità e una pressione costanti nello spazio. Questo nuova idea ha generato un dibattito nel campo e alcuni hanno mostrato che non è vero. Noi invece mostriamo che si sono sbagliati loro. Aspettiamo la nuova puntata

Leave a comment